PARCERIAS PÚBLICAS

PROJETO: PROJETO FORTALECENDO O PATRIMÔNIO MATERIAL E IMATERIAL CULTURAL, ARTÍSTICO E LITERÁRIO DOS MUNICÍPIOS DE ARACAJU E NOSSA SENHORA DO SOCORRO

Proposta Transferegov: 062143/2023

Fonte de recurso:
Emenda nº 27330010  - Deputado Marcio Macedo

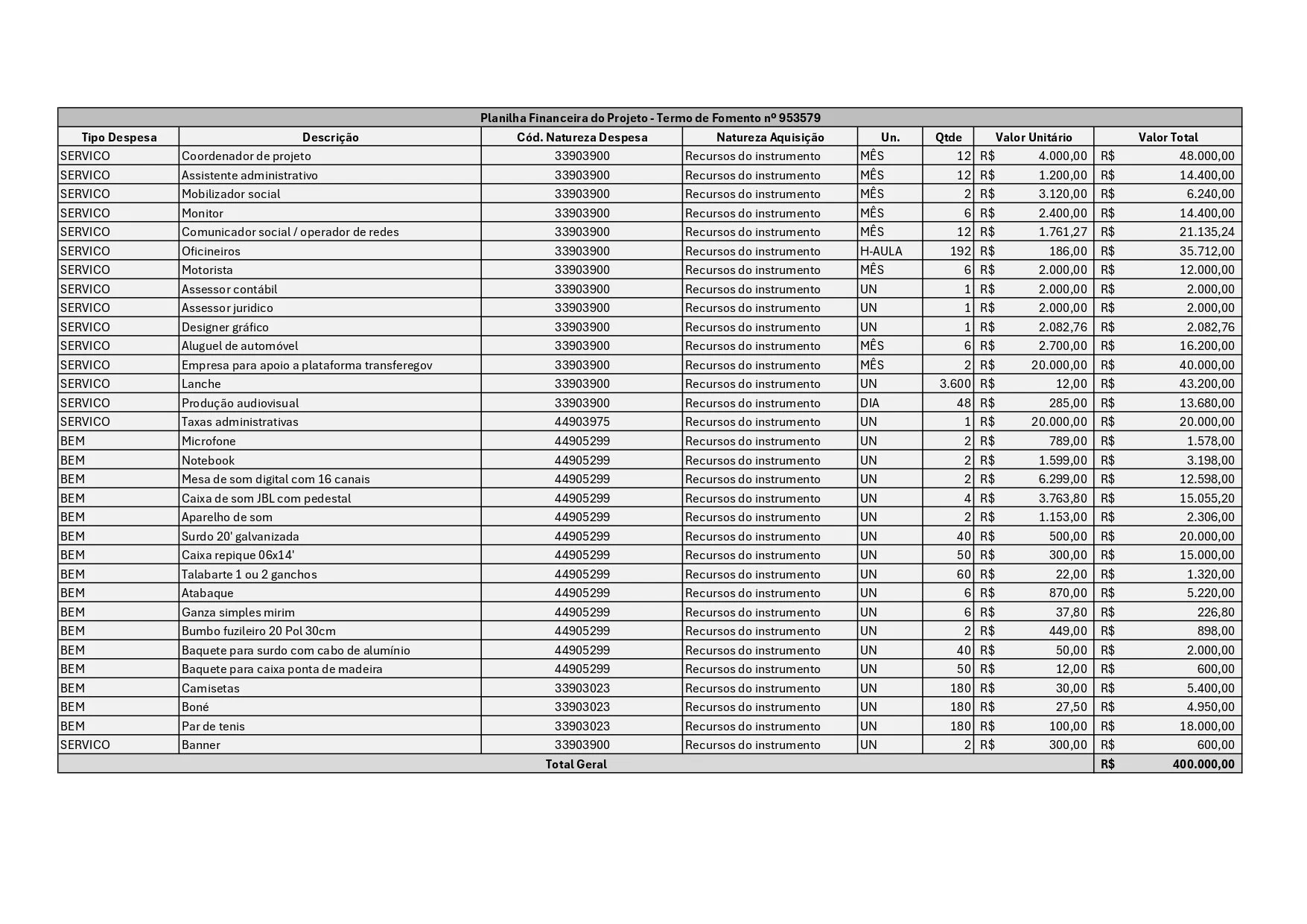
Valor total da parceria: R$ 400.000,00 (Quatrocentos mil reais)

Órgão Concedente: Ministério da Cultura

Objeto: Realização de 2 oficinas Culturais visando ações de promoção da acessibilidade cultural, com temática do Maracatu e da música com percussão, voltadas ao público juvenil a serem realizados em Aracaju e Nossa Senhora do Socorro/SE.

Data limite da Prestação de Contas: 30/03/2025

ESCLARECIMENTO: O PROJETO NÃO FOI EXECUTADO E OS RECURSOS FORAM DEVOLVIDOS INTEGRALMENTE.

Link Transferegov: https://discricionarias.transferegov.sistema.gov.br/voluntarias/ConsultarProposta/ResultadoDaConsultaDePropostaDetalharProposta.do?idProposta=1932421&destino=&idConvenio=1096697


TERMO DE FOMENTO - 062143/2023